Tujuan utama analisis regresi adalah mencari ada tidaknya hubungan linier antara dua variabel:
- Variabel bebas (X), yaitu variabel yang mempengaruhi
- Variabel terikat (Y), yaitu variabel yang dipengaruhi
Persamaan regresi adalah persamaan matematika yang memungkinkan kita meramalkan nilai-nilai variabel terikat (Y) dari nilai-nilai satu atau lebih variabel bebas (X)
Setelah diketahui ada hubungan/pengaruh, maka analisis ini digunakan untuk keperluan pendugaan variabel terikat (Y) dari suatu nilai variabel bebas (X).
Contoh:
- Nilai stat (Y) dari skor intelegensia (X)
- Berat badan (Y) dari tinggi badan (X)
- Tinggi tanaman (Y) dari dosis pupuk (X)
- Berat badan ikan (Y) dari umur (X)
Diambil sampel berukuran n dari populasi:
(xi, yi) di mana i = 1, 2, …, n
Dari sampel tersebut, ingin di uji model regresi:

di duga dari data sampel, dengan pendugaan:
y = a + bx
di mana y dan x adalah data pengamatan berpasangan dari sampel, a dan b adalah koefisien regresi (parameter dalam regresi).
Ada satu lagi analisis yang menguji hubungan antar variabel, yaitu analisis korelasi.
Perbedaannya dengan regresi, dua variabel di analisis korelasi tidak membedakan mana variabel bebas, mana variabel terikat. Dan pada analisis korelasi, kita tidak bisa meramalkan nilai sebagaimana pada analisis regresi. Jadi pada notasi analisis korelasi di sini, variabel X bukan berarti variabel bebas, dan variabel Y bukan berarti variabel terikat.
Koefisien korelasi r

di mana Sxy

Uji koefisien korelasi, hipotesis yang akan di uji:

Nilai korelasi terletak antara -1 sampai dengan 1.
- Jika nilai korelasi dekat dengan 0 (korelasi rendah), maka tidak ada korelasi (hubungan) antara nilai X dan nilai Y
- Jika nilai korelasi dekat dengan 1 (korelasi rendah), maka ada korelasi positif (hubungan searah) antara nilai X dan nilai Y
- Jika nilai korelasi dekat dengan -1, maka ada korelasi negatif (hubungan berlawanan arah) antara nilai X dan nilai Y
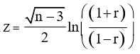
Statistik uji yang digunakan:

di bandingkan dengan Za/2.
H0 diterima jika – Za/2 < Z < Za/2
H0 ditolak jika Z < – Za/2 atau Z > Za/2

