ARCH dan GARCH

ARIMA (Auto Regressive Integrated Moving Average) adalah model statistik yang digunakan untuk menganalisis dan meramalkan data deret waktu. Model ARIMA adalah gabungan dari tiga komponen utama: autoregressive (AR), integrated (I), dan moving average (MA). ARIMA umumnya digunakan untuk meramalkan atau menganalisis data deret waktu yang stasioner atau dapat diubah menjadi stasioner dengan teknik diferensiasi.

Data deret waktu memiliki banyak sekali jenis dimana salah-satunya yaitu pada data keuangan yang memiliki studi khusus yang dikenal dibidang ekonomi dan bisnis. Dalam konteks analisis keuangan, salah satu perhatian utama yang paling sering menjadi bahan penelitian yaitu Volatilitas yang merupakan bentuk pemahaman lebih lanjut dari ARIMA. Volatilitas dapat kita lihat jika pada data deret waktu tidak terdapat adanya asumsi heteroskedastisitas.

Dari sini, kita dapat memperluas pemahaman kita tentang model volatilitas dalam deret waktu, yang membawa kita ke dunia ARCH (Autoregressive Conditional Heteroskedasticity) dan GARCH (Generalized Autoregressive Conditional Heteroskedasticity). Model-model ini digunakan untuk memodelkan fluktuasi volatilitas dalam data finansial dan ekonomi.

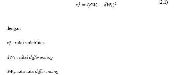
Volatilitas

Volatilitas adalah suatu kondisi di mana rata-rata dan ragam tidak konstan (Widarjono, 2005). Volatilitas secara bahasa mengandung arti tidak stabil, suatu kondisi dimana data bergerak naik turun, kadang secara ekstrem. Data deret waktu terutama data di sektor keuangan sangat tinggi volatilitasnya. Volatilitas yang tinggi ditunjukkan dari suatu fase yang fluktuasinya relatif tinggi kemudian diikuti fluktuasi yang rendah dan kembali tinggi (Ariefianto, 2012).

Volatilitas digunakan sebagai salah satu ukuran untuk melihat seberapa besar dan seringnya perubahan atau fluktuasi yang terjadi pada indikator-indikator ekonomi. Biasanya besaran ini dinyatakan sebagai standar deviasi perubahan data deret waktu keuangan. Ukuran volatilitas adalah sebagai berikut (Gujarati, 2003).


Model Autoregressive Conditional Heterokeasticity (ARCH)

Model Autoregressive Conditional Heterokedasticity (ARCH) merupakan model autoregresif yang terjadi dalam keadaan ragam tidak konstan. Volatilitas merupakan ukuran ketidakpastian dari data deret waktu yang ditunjukkan dengan adanya fluktuasi. Fluktuasi ini menyebabkan ragam dari residual tidak konstan atau heterokedastisitas. Pada tahun 1982, Engle menunjukkan model ARCH (Autoregresive Conditional Heterokedasticity) untuk mengatasi kondisi tersebut.

Konsep dasar dari model ARCH adalah ragam kuadrat residual dari beberapa periode sebelumnya. Model ARCH dengan orde p dinotasikan ARCH(p) dinyatakan dalam dua persamaan yaitu persamaan rata-rata dan persamaan ragam secara berturut-turut sebagai berikut:

dengan Y variabel dependen, X variabel independen, πœ€ residual, 𝜎2 ragam residual

Komponen-komponen dalam ragam residual terdiri dari dua komponen, yaitu konstanta dan residual dari periode sebelumnya. Itulah sebabnya model ini disebut model bersyarat (conditional), karena ragam residual periode sekarang (𝑑) dipengaruhi oleh periode sebelumnya (𝑑 – 1, 𝑑 – 2, dan seterusnya). Persamaan (2.2) disebut dengan persamaan rata-rata bersyarat (conditional mean) dan persamaan (2.3) disebut dengan persamaan ragam bersyarat (conditional variance) (Winarno, 2017).

Uji ARCH-Lagrange Multiplier (ARCH-LM)

Uji    ARCH-LM    digunakan    untuk    mengetahui    ada    tidaknya    gejala heterokedastisitas pada suatu data deret waktu. Ide pokok uji ini adalah bahwa

ragam residual bukan hanya merupakan fungsi dari variabel independen tetapi tergantung pada kuadrat residual pada periode sebelumnya (Widarjono, 2007).

Langkah pengujian ARCH-LM adalah Hipotesis:

𝐻0 = 𝛼1 = 𝛼2 = β‹― = 𝛼𝑝 = 0 (tidak terdapat efek ARCH)

𝐻1 = βˆƒπ›Ό1 β‰  0, 𝑖 = 1,2, β‹― , 𝑝 (terdapat efek ARCH)

dengan taraf signifikansi sebesar 𝛼 =0,05.   

Statistik Uji:

dengan

Model GeneralizedΒ Autoregressive Conditional Heterokedasticity (GARCH)

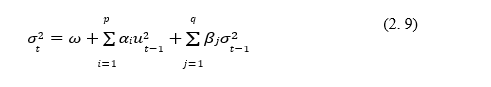
Analisis model yang mengatasi adanya masalah heterokedastisitas pertama kali muncul model ARCH dikenalkan oleh Engle (1982) dan pada tahun 1986 Bollorsev memperkenalkan model GARCH (Generalized Autoregresive Conditional Heteroscedaticity) yang merupakan perluasan dari model ARCH. GARCH merupakan salah satu pendekatan untuk memodelkan runtun waktu dengan kondisi error bervariasi menurut waktu (heterkedastisitas). GARCH dianggap memberikan hasil yang lebih sederhana karena menggunakan lebih sedikit parameter sehingga mengurangi tingkat kesalahn dalam perhitungan. Konsep dasar dari GARCH adalah varians tidak hanya dipengaruhi oleh residual yang lampau tetapi juga oleh lag varians kondisional itu sendiri.

Dengan demikian varians kondisional pada model GARCH terdiri atas dua komponen, yakni komponen lampau dari residual kuadrat (dinotasikan dengan derajat p) dan komponen lampau dari ragam kondisional (dinotasikan dengan derajat q), dalam bentuk matematis

Jika π‘ž = 0 maka diperoleh model ARCH Engle, sementara jika 𝑝 = π‘ž = 0, dimiliki proses white noise dengan varian πœ”. Disini terlihat bahwa meskipun proses π‘žπ‘‘ bersifat tidak berkorelasi namun proses ini tidak bersifat independen.

Dalam model GARCH (𝑝, π‘ž), proses 𝑒𝑑 dapat didefinisikan dengan menggunakan persamaan

DAFTAR PUSTAKA

Ariefianto, M. D. (2012). Ekonometrika Esensi dan Aplikasi dengan Menggunakan Eviews. Jakarta: Erlangga.

Aswi, & Sukarna. (2006). Analisis Deret Waktu : Teori dan Aplikasi. Makassar: Andhira Publisher.

Gujarati, D. (2003). Ekonometrika Dasar. Terjemahan Sumarno Zain. Jakarta: Erlangga.

Rosadi, D. (2012). Ekonometrika dan Analisis Runtun Waktu Terapan dengan Eviews. Yogyakarta: Andi Yogyakarta.

Vogelvang, B. (2005). Econometrics Theory and Applications with Eviews.

England.

Widarjono, A. (2005). Ekonometrika Pengantar dan Aplikasinya. Yogyakarta: Ekonosia.

Widarjono, A. (2007). Ekonometrika : Teori dan Aplikasi untuk Ekonomi dan Bisnis. Yogyakarta: Penerbit Ekonosia UII.

Winarno, W. W. (2017). Analisis Ekonometrika dan Statistika dengan Eviews.

Yogyakarta: STIM YKPN.

Leave a Reply