Topik sebelumnya, kita telah memperkenalkan uji statistik Mann-Whitney yang digunakan untuk menguji perbedaan dari dua kelompok. Kali ini, kita akan pelajari uji statistik yang digunakan ketika kondisinya terdapat tiga kelompok atau lebih.
Ilustrasi
Kadar kortisol dalam tiga kelompok pasien pasien yang melahirkan pada usia kehamilan antara 38 dan 42 minggu. Pengamatan pada kelompok satu dilakukan sebelum proses bedah cecar yang sengaja dipilih. Pengamatan pada kelompok dua dilakukan pada proses bedah cecar yang terpaksa dipilih akibat proses normal tidak berhasil. Kelompok tiga sekelompok pasien yang dapat melahirkan dengan normal tetapi ada yang memilih melahirkan dengan bedah cecar. Kita ingin mengetahui apakah data ini menyediakan bukti yang cukup untuk menunjukan adanya perbedaan median kadar kortisol di antara ketiga kelompok tersebut. Berikut data dari masing masing kelompok
| Kelompok I | Kelompok II | Kelompok III |
| 262 | 465 | 343 |
| 307 | 501 | 772 |
| 211 | 455 | 207 |
| 323 | 355 | 1048 |
| 454 | 468 | 838 |
| 339 | 362 | 687 |
| 304 | ||
| 154 | ||
| 287 | ||
| 356 |
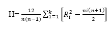
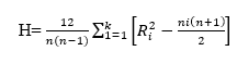
Teknik statistika sebaran bebas yang digunakan untuk menguji hipotesis nol yang menyatakan bahwa beberapa sampel telah diambil dari populasi yang sama atau identik adalah analisis variansi satu arah berdasarkan peringkat. Data diatas menunjukan jumlah variabel adalah 3 maka uji statistika nonparametrik yang digunakan adalah uji kruskal walis.
Asumsi dan hipotesis yang digunakan dalam uji Kruskal-Wallisadalah sebagai berikut:
- sampel acak berukuran n1, n2,…nk
- Variabel bersifat independen (saling bebas)
- objek yang diamati berupa peubah malar/diskrit
- skala pengukuran yang digunakan adalah skala pengukuran ordinal
- populasi yang digunakan identik atau sekurang-kurangnya 1 populasi berbeda
- hipotesis
- H0 : Mx = My=Mz
H1 : Mx = My ≠ Mz
- H0 : Mx = My=Mz
H1 : Mx ≠ My=Mz
Atau
H0: sebanyak K populasi yang dipelajari memiliki median yang sama
H1: tidak semua dari K populasi memliki median yang sama
Rumus uji kruskal-wallis :

atau dapat disederhanakan :

R: ranking/peringkat
n : jumlah sampel
- Sebelum menjawab ilustrasi di atas terlebih dahulu dirumuskan hipotesis sebegai berikut:
H0 : Mx = My=Mz
H1 : Mx = My ≠ Mz
H0 : Mx = My=Mz
H1 : Mx ≠ My=Mz
Atau
H0: Tiga kelompok tersebut memiliki median yang identik
H1: Tidak semua kelompok memiliki memiliki median yang sama
- Selanjutnya dilakukan perankingan untuk ketiga kelompok di atas, dengan menggabungkan dan mengurutkan semua kelompok dari kecil kebesar
| Data | Ranking |
| 155 | 1 |
| 207 | 2 |
| 211 | 3 |
| 262 | 4 |
| 287 | 5 |
| 304 | 6 |
| 307 | 7 |
| 323 | 8 |
| 339 | 9 |
| 343 | 10 |
| 355 | 11 |
| 356 | 12 |
| 362 | 13 |
| 454 | 14 |
| 455 | 15 |
| 465 | 16 |
| 468 | 17 |
| 501 | 18 |
| 687 | 19 |
| 772 | 20 |
| 838 | 21 |
| 1048 | 22 |
- Setelah di gabung dan dilakukan perankingan, kemudian hitung jumlah ranking dari masing-masing kelompok.
| Kelompok I | Kelompok II | Kelompok III |
| 4 | 16 | 10 |
| 7 | 18 | 20 |
| 3 | 15 | 2 |
| 8 | 11 | 22 |
| 14 | 17 | 21 |
| 9 | 13 | 19 |
| 6 | ||
| 1 | ||
| 5 | ||
| 12 | ||
| RI = 69 | RII = 90 | RIII= 94 |
- Selanjutnya hitung statistik uji dengan mensubtitusi nilai yang ada pada rumus Kruskal-Wallis

- Selanjutnya kita menggunakan tabel X2 untuk memustuskan apakah, apakah median-median sampel berbedah secarah signifikan pada taraf α=1%. Nilai kritis untuk dk = 3-1= 2 adalah X20.99:2 = 9.21. Hhit <nilai kritis, artinya hipotesis H0 ditolak atau menerima H1 yang mana artinya median-median ketiga variabel tersebut tidak semuanya sama.
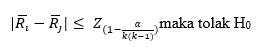
Karena terdapat perbedaan pada kelompok yang diamati maka dilanjutkan pada uji post-hoc (uji lanjutan). Tujuan dilakukan uji post-hoc adalah untuk melihat pasangan kelompok mana yang memiliki perbedaan yang signifikan.
Skema pengujian:
- Kelompok I vs kelompok II
- Kelompok I vs kelompok II
- Kelompok II vs kelompok III
Rumus untuk ukuran sampel tidak seimbang

Rumus untuk ukuran sampel seimbang

nilai α yang digunakan lebih besar daripada yang digunakan pada kruskal wallis, 0.15, 0.20, 0.25.
Kaidah keputusan uji post-hoc :

Pada kasus di atas digunakan rumus untuk ukuran sampel tidak seimbang

Mencari rata-rata tiap kelompok



Dapat dilihat dari ketiga kelompok tersebut pasangan kelompok yang memiliki perbedaan yang signifikan adalah kelompok II vs Kelompok III

Daftar Pustaka
Daniel, W. W. (1990). Applied Nonparametric Statistics (2nd ed.). Brooks/Cole Cengage Learning.
Tiro, M.A. (2002). Statistika Sebaran Bebas. Andira Publisher. Makassar: Indonesia

