Oleh : Bidang Riset dan Advokasi
Pendahuluan
Perkembangan teknologi yang pesat serta kemudahan akses internet memungkinkan siapa saja, termasuk mahasiswa, untuk memperoleh informasi dengan mudah. Namun, meskipun kemajuan teknologi ini diharapkan memberikan dampak positif bagi mahasiswa, kenyataannya tidak selalu demikian. Sebaliknya, kemajuan tersebut justru dapat menjadi pemicu bagi mahasiswa untuk memiliki niat melakukan kecurangan akademik (Rahmadina & Hapsari, 2020).
Menurut (Saidina, Nurhidayati, & Mawardi, 2017) Banyak mahasiswa memandang perkuliahan sebagai langkah awal menuju dunia kerja. Mereka beranggapan bahwa lulusan dengan nilai pas-pasan akan menghadapi kesulitan dalam mencari pekerjaan. Sebagian besar mahasiswa cenderung lebih fokus pada pencapaian nilai daripada pendalaman ilmu. Akibatnya, dalam upaya mendapatkan nilai tinggi, sering kali mereka melakukan tindakan yang kurang terpuji
Perguruan tinggi merupakan salah satu institusi formal tempat berlangsungnya proses pendidikan. Tidak hanya diharapkan mencetak lulusan yang unggul secara intelektual, perguruan tinggi juga bertanggung jawab membentuk individu yang berakhlak mulia dan bertanggung jawab. Namun, realitas saat ini menunjukkan bahwa kecurangan akademik masih marak terjadi, bahkan di lingkungan pendidikan tinggi. Kecurangan akademik bukanlah isu yang baru muncul. Fenomena ini telah menjadi permasalahan yang meluas dan dihadapi oleh berbagai negara di seluruh dunia. Jika masalah ini tidak ditangani dengan serius, ada kekhawatiran bahwa kecurangan akademik akan dianggap sebagai sesuatu yang wajar dan lumrah. Hal ini dapat berdampak lebih jauh, yaitu menjalar ke perilaku kecurangan profesional. Mahasiswa yang terbiasa melakukan kecurangan selama masa pendidikan berpotensi membawa kebiasaan tersebut ke dunia kerja, sehingga menciptakan masalah yang lebih luas (Purnamasari & Irianto, 2013).
Kecurangan sering kali dipengaruhi oleh tiga faktor utama, yaitu tekanan, kesempatan, dan rasionalisasi. (1)Tekanan muncul ketika individu menghadapi dorongan, baik dari aspek finansial, non-finansial, maupun tekanan pribadi, yang memotivasinya untuk melakukan kecurangan. (2)Kesempatan terjadi akibat kelemahan dalam sistem atau situasi yang memungkinkan seseorang melakukan kecurangan tanpa terdeteksi dan tanpa sanksi, sering kali dengan memanfaatkan keahlian yang dimilikinya. Semakin besar peluang tersebut, semakin besar pula kemungkinan terjadinya kecurangan. (3)Rasionalisasi adalah proses di mana individu mencari pembenaran atas tindakannya sebelum melakukan kecurangan, sehingga merasa bahwa perbuatannya dapat diterima meskipun sebenarnya salah. Ketiga faktor itu disebut dengan istilah fraud triangle yang mendasari seseorang melakukan kecurangan. Namun selain ketiga faktor tersebut, terdapat faktor lain yang dapat mempengaruhi seorang mahasiswa berbuat curang yaitu ambisinya terhadap IPK. Mahasiswa biasanya menginginkan nilai IPK yang sempurna dan akan menghalalkan segala cara untuk mendapatkannya.
Bidang riset dan advokasi HMPS Statistika FMIPA UNM melakukan riset ini dengan tujuan untuk memahami bagaimana faktor-faktor dalam Fraud Triangle (tekanan, peluang, dan rasionalisasi) dan ambisi terhadap IPK mempengaruhi perilaku akademik mahasiswa.
Metode
Riset ini menggunakan metode kuantitatif dengan menggunakan data primer yang diperoleh dengan menyebarkan kuesioner skala 1-5. Setiap instrumen diukur menggunakan skala lima poin, yaitu: 1 (sangat tidak setuju), 2 (tidak setuju), 3 (netral), 4 (setuju), dan 5 (sangat setuju). Populasi pada riset ini adalah adalah mahasiswa Angkatan 2021,2022 dan 2023 fakultas Matematika dan Ilmu Pengetahuan Alam Universitas Negeri Makassar. Metode yang digunakan dalam pengumpulan sampel yaitu convenience sampling.
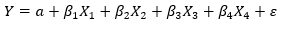
Terdapat tiga variabel independent dan satu variabel dependen yang digunakan dalam riset ini. Variabel independent diantaranya : Tekanan (X1), Kesempatan (X2), dan Rasionalisasi (X3), Ambisi terhadap IPK (X4) dan variabel dependen : Perilaku kecurangan akademik (Y).
Metode analisis yang digunakan dalam riset ini adalah Analisis Regresi Linear Berganda untuk mengetahui pengaruh setiap variabel independent terhadap variabel dependen. Model persamaan Regresi Linear Berganda adalah :


Dengan model penelitian sebagai berikut :

Gambar 1. Model Penelitian
Hasil dan Pembahasan
Deskripsi Data

Tabel di atas menunjukkan kebanyakan yang mengisi kuesioner adalah Perempuan dengan jumlah 162 atau 78%.

Diagram di atas menunjukkan jumlah responden dari tiap jurusan/ program studi yang ada di Fakultas MIPA Universitas Negeri Makassar. Total responden pada riset ini adalah 207 orang.
Uji Asumsi Klasik
| Uji asumsi | p-value |
| Normalitas | 0,9087 |
| Heterokedastisitas | 0,1894 |
Berdasarkan tabel, p-value pada uji normalitas sebesar (0,9087) > (0,05) yang berarti residual pada model berdistribusi normal. Selanjutnya, nilai p-value pada uji heterokedastisitas sebesar (0,1894) > (0,05). Artinya tidak terdapat gejala heterokedastisitas pada model.
Uji Multikolinearitas
| Tekanan (X1) | Kesempatan (X2) | Rasionalisasi (X3) | Ambisi terhadap IPK (X4) | |
| VIF | 3.420837 | 3.416929 | 3.410019 | 1.069434 |
Suatu model dikatakan terbebas dari gejala multikolinearitas apabila tiap variabel memiliki nilai VIF < 10. Dari tabel diatas dapat dilihat jika semua variabel independent memiliki nilai VIF < 10, artinya tidak terdapat gejala multikolinearitas pada model.
Analisis Regresi Linear Berganda
| Estimate | p-value | |
| Konstanta | 2.3150524 | 0,0001 |
| Tekanan (X1) | 0.0091624 | 0.02942 |
| Kesempatan (X2) | 0.0211455 | 0.00605 |
| Rasionalisasi (X3) | 0.0093861 | 0.03430 |
| Ambisi terhadap IPK (X4) | -0.0008883 | 0.69757 |
| F-Statistics | 0,0001 | |
Berdasarkan tabel hasil analisis di atas, maka didapatkan persamaan model regresi sebagai berikut :

Berdasarkan persamaan regresi, setiap peningkatan satu unit pada variabel X1 akan meningkatkan Y sebesar 0,00916, peningkatan satu unit pada variabel X2 akan meningkatkan Y sebesar 0,02115, dan peningkatan satu unit pada variabel X3 akan meningkatkan Y sebesar 0.00939. Sebaliknya, peningkatan satu unit pada X4 akan menurunkan Y sebesar 0,00089
Uji t (parsial)
- Untuk variabel Tekanan (X1)
Nilai p-value (0,02942) < (0,05) sehingga dapat disimpulkan bahwa terdapat pengaruh yang signifikan antara variabel X1 terhadap Y secara parsial
- Untuk variabel Kesempatan (X2)
Nilai p-value (0,00605) < α (0,05) sehingga dapat disimpulkan bahwa terdapat pengaruh yang signifikan antara variabel X2 terhadap Y secara parsial
- Untuk variabel Rasionalisasi (X3)
Nilai p-value (0,03430) < α (0,05) sehingga dapat disimpulkan bahwa terdapat pengaruh yang signifikan antara variabel X3 terhadap Y secara parsial
- Untuk variabel Ambisi terhadap IPK (X4)
Nilai p-value (0,69757) > α (0,05) sehingga dapat disimpulkan bahwa tidak terdapat pengaruh yang signifikan antara variabel X4 terhadap Y secara parsial
Uji F (Simultan)
Nilai p-value (0,0001) < α (0,05) Sehingga dapat disimpulkan bahwa terdapat pengaruh yang signifikan antara variabel prediktor terhadap variabel respons secara simultan.
Koefisien Determinasi
| R Square | 0,4211 |
Berdasarkan tabel, nilai R square adalah 0,4211 atau 42,11%. Hal itu menunjukkan bahwa persentase pengaruh variabel independent terhadap variabel dependen mampu dijelaskan sebesar 42,11%, sedangkan 57,89% sisanya dipengaruhi oleh variabel lain yang tidak dimasukkan kedalam model.
Kesimpulan
Hasil analisis menunjukkan bahwa tekanan, kesempatan, dan rasionalisasi memiliki pengaruh positif dan signifikan terhadap perilaku kecurangan akademik secara parsial. Namun, ambisi terhadap IPK tidak memiliki pengaruh yang signifikan terhadap perilaku kecurangan akademik. Secara simultan, semua variabel independen dalam model ini secara signifikan memengaruhi perilaku kecurangan akademik, dengan kemampuan menjelaskan variasi sebesar 42,11% (R-squared). Sementara itu, 57,89% variasi lainnya dipengaruhi oleh faktor di luar model. Temuan ini menggarisbawahi pentingnya pengendalian tekanan, pengurangan kesempatan, dan pemahaman rasionalisasi untuk meminimalkan kecurangan akademik di lingkungan pendidikan tinggi.
Daftar Pustaka
Fitriana, A., & Baridwan, Z. (2012). PERILAKU KECURANGAN AKADEMIK MAHASISWA AKUNTANSI: DIMENSI FRAUD TRIANGLE. Jurnal Akunstansi Multiparadigma, 242-254.
Purnamasari, D., & Irianto, G. (2013). ANALISIS PENGARUH DIMENSI FRAUD TRIANGLE TERHADAP PERILAKU KECURANGAN AKADEMIK MAHASISWA PADA SAAT UJIAN DAN METODE PENCEGAHANNYA. Jurnal Ilmiah Mahasiwa FEB.
Rahmadina, L. H., & Hapsari, A. N. (2020). FRAUD TRIANGLE SEBAGAI MOTIF NIAT MELAKUKAN KECURANGAN AKADEMIK. AkMen, 77-89.
Saidina, D. A., Nurhidayati, H., & Mawardi, M. C. (2017). FAKTOR-FAKTOR YANG MEMPENGARUHI PERILAKU KECURANGAN AKADEMIK DALAM PERSPEKTIF FRAUD TRIANGLE PADA MAHASISWA AKUNTANSI UNIVERSITAS ISLAM MALANG. e_Jurnal Ilmiah Riset Akuntansi.
Setyawan, D. D., & Kristianti, I. (2021). DETERMINAN NIAT KECURANGAN AKADEMIK DENGAN MENGGUNAKAN FRAUD TRIANGLE. Journal of Economic, Business and Accounting (COSTING), 647-657.

