Untuk mempelajari populasi, tidak mungkin kita mengamati seluruh anggota populasi, tetapi dengan menggunakan contoh (sampel).

- Penduga Titik
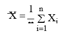
Misalkan kita mempunyai sebuah peubah acak X dengan nilai sampel pengamatan X1, X2, X3, …, Xn, maka nilai tengahnya:

dinamakan penduga titik (point estimate) dari nilai tengah populasi m.
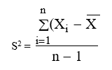
Sedangkan ragam contohnya:

dinamakan penduga titik dari ragam populasi s2
2. Penduga Selang
Dalam berbagai keadaan, nilai duga titik belum memberikan informasi yang cukup tentang parameter populasi, karena nilai tengahnya tergantung pada contoh yang diambil.
Misalkan saja untuk menduga hasil rata-rata per hektar hasil padi pada suatu musim tanam, tidak cukup kita mengatakan 3 ton/ha gabah kering karena bila contoh yang diambil berbeda, rata-ratanya belum tentu sama dengan 3 ton/ha, mungkin lebih atau kurang dari itu.
Untuk menentukan penduga selang dari sesuatu parameter yang tidak diketahui (dilambangkan q, bisa untuk m ataupun s2), sehingga:

1 – a adalah taraf kepercayaan kebenaran selang tersebut, atau dengan kata lain a disebut tingkat kesalahan.
3. Pendugaan Selang Untuk Nilai Tengah m.
a. Untuk Ragam Populasi Diketahui

b. Untuk Ragam Populasi Tidak Diketahui


